Confederación

Agosto de 1973

Soy Hatonn. Estoy con este instrumento. Les saludo en el amor y en la luz de nuestro infinito Creador.

Soy consciente de su problema. Se trata de una comprensión del tiempo. Intentaré instruirles sobre la naturaleza del tiempo. No es muy sencillo para ustedes, estoy seguro, pero para nosotros sí lo es, simplemente porque somos conscientes del tiempo de una manera diferente a como ustedes lo perciben.

El tiempo, mis amigos, está en su mente. Solo existe el ahora, y solo existe el aquí. La razón por la cual parece haber una naturaleza recíproca entre el espacio y el tiempo en su mundo es porque su mundo está, digamos, diseñado para producir esta ilusión. Es una ilusión necesaria para ciertos procesos catalíticos que ustedes experimentan en su estado actual, con el propósito de su continuo crecimiento y evolución espiritual.

El tiempo, sin embargo, es totalmente independiente del espacio, y el espacio es totalmente independiente del tiempo, porque en verdad no tienen relación alguna, ya que en realidad ninguno de los dos tiene significado. Hay un solo lugar, y hay un solo tiempo. Por lo tanto, no existe una relación interdependiente entre ambos.

Voy a, en este momento —si me disculpan el juego de palabras—, ceder la palabra a otro para que les hable, ya que puede ser de ayuda escuchar sus palabras, que serán un poco menos simples y, por lo tanto, más demoradas en el tiempo. Lamento estar, digamos, en un estado de ánimo bromista esta noche, pero me temo que encuentro este tema algo gracioso.

Los dejo por ahora. Adonai.

Soy Oxal. Estoy con este instrumento. He sido llamado con el propósito de hablarles sobre la naturaleza y la realidad del tiempo. El tiempo es un campo, semejante a su campo eléctrico, a su campo magnético. Pero ¿qué es un campo, mis amigos? Un campo es un efecto. Un campo está en sus mentes. Un campo tiene diferentes efectos a diferentes distancias. Así también es el tiempo. Como han afirmado recientemente, el tiempo y el espacio son dependientes, uno del otro. También se ha dicho que son totalmente independientes y que no tienen relación alguna.

Ambas afirmaciones son verdaderas. Simplemente depende de su punto de vista. Las personas de su planeta, en este momento, no comprenden la cantidad de dimensiones que están disponibles para experimentar la creación. Todas estas dimensiones están compuestas por un solo lugar y un solo tiempo, y, en ese sentido, por una sola dimensión, que no tiene dimensión alguna. Pero es necesario ir desde donde están hacia donde estarán. Por lo tanto, hablaremos del tiempo tal como ustedes lo conocen e intentaremos guiarlos hacia ese lugar donde lo comprenderán.

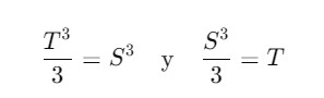
El tiempo es un campo. Es dependiente del espacio. El espacio es un campo y es dependiente del tiempo. Por esta razón, ustedes reconocen una naturaleza recíproca. La relación entre ambos es el desplazamiento elevado a la tercera potencia en cualquiera de los dos. Esto puede reconocerse mediante una ecuación o fórmula simple:

  • T³ dividido por 3 es igual a S³
  • S³ dividido por 3 es igual a T

Existen tres dimensiones; por lo tanto, se utiliza el número “3”, tanto como exponente como como constante. La permeabilidad del campo depende de la velocidad del campo recíproco. Su constante actual —aquella que ustedes llaman la velocidad de la luz, es la velocidad básica del campo. La permeabilidad de aquello que ustedes conocen como materia depende de esta constante. En otras palabras, mis amigos, las densidades de las que está compuesto su mundo, y las densidades de los otros planos de existencia tal como ustedes los conocen, dependen del tiempo. Su permeabilidad es una función de la velocidad aparente.

La condensación en forma densa resulta de las oscilaciones entre entidades de espacio/tiempo recíprocamente relacionadas, y la permeabilidad —o la densidad básica de esta materia— es una función de la velocidad aparente de lo que ustedes llaman luz. Hay seis espacios y seis tiempos en cada densidad. En su forma y estado de conciencia actuales, ustedes reconocen tres. Los otros tres los transitan en el estado de sueño. Al hacer esto, a menudo se produce un desajuste con respecto a la conciencia que poseen en su estado de vigilia. Por esta razón, son capaces de percibir eventos que ocurrirán, en lo que para ustedes en el estado de vigilia es el futuro. Sin embargo, el futuro es una ilusión, al igual que el pasado, pues solo existe el presente. Es posible deslizarse, por así decirlo, en relación con su conciencia del tiempo en el estado de vigilia, simplemente eliminando, mediante el proceso del sueño normal, los límites de la ilusión física. El espacio y el tiempo entonces, como antes, se relacionan recíprocamente.

Es un tema difícil del cual hablar, y requerirá un considerable esfuerzo intelectual de su parte para aplicarlo o comunicarlo a otros dentro de la ilusión presente. ¿Cómo puede uno reducir a una matemática fabricada dentro de un sistema de ilusión una verdad que está totalmente fuera de los límites de ese sistema? Sin embargo, puede ser posible hacer ciertas afirmaciones sobre las relaciones entre el espacio y el tiempo en cualquier sistema, que ayuden a guiar a un individuo que intenta trabajar dentro de un sistema limitado para comprender la verdad de las acciones y los límites de ese sistema de fenómenos del tiempo. No obstante, sería mucho mejor eliminar de la conciencia del individuo las nociones preconcebidas sobre la naturaleza tanto del tiempo como del espacio, ya que no son lo que parecen ser, tal como se representan mediante sus fenómenos dentro de los límites de sus presentes limitaciones.

El espacio puede considerarse como lineal, si el tiempo se piensa como volumétrico. O se puede invertir el proceso, como lo hacen dentro de sus limitaciones, y considerar el espacio como volumétrico y el tiempo como lineal. Ambas opciones son verdaderas. Y ambas pueden percibirse como verdaderas, dependiendo de las limitaciones de su pensamiento. Es posible moverse linealmente en el espacio y volumétricamente en el tiempo, todo con el mismo movimiento. Pueden ser conscientes de lo que ustedes llaman el pasado, el presente y el futuro, simultáneamente.

El tiempo no es tanto tiempo como lo es espacio, y el espacio no es tanto espacio como lo es tiempo. Son una y la misma cosa, y aun así están relacionadas recíprocamente. ¿Acaso no es 1 dividido por 1 es igual a 1? Porque solo existe una sola cosa, y todos somos partes de ella.

Existen seis dimensiones, pero deben hablar de tres. Y el tiempo es un campo que irradia desde cada núcleo de la materia en todas las direcciones, y puede evaluarse como T es igual a S³ dividido 3, donde T es el tiempo y S es el espacio.

Estaré feliz de hablar con ustedes en el futuro sobre este tema. Sin embargo, se considera que será necesario reflexionar sobre lo que ya se les ha entregado antes de que una instrucción adicional les sea de gran beneficio. Es un puente muy difícil de cruzar, entre un mundo de semántica y un estado de ser. Pero los serviremos en todo lo que podamos.

Soy Oxal. Los dejo por ahora. Adonai vasu borragus. Ha sido un gran privilegio. Que la paz esté con ustedes.